VAE(Variational AutoEncoder)

안녕하세요 Steve Lee입니다. 오늘은 cs231n 13강의 Variational AutoEncoder에 대해 알아보도록 하겠습니다.
바로 시작하겠습니다!
(모두를 위한 딥러닝의 강좌들은 아래의 목차를 통해 살펴보실 수 있습니다)
모두를 위한 cs231n
모두를 위한 cs231n 😀
👉🏻 시작합니다! 🎈
모두를 위한 cs231n (feat. 모두의 딥러닝 & cs231n)
👉🏻 Neural Network 기초 📗
* Backpropagation
Lecture4. Backpropagation and Neural Network. 오차역전파에 대해서 알아보자😃
👉🏻 Training Neural Network Part I 📑
- Activation Function 파헤치기
Lecture 6. Activation Functions에 대해 알아보자
Lecture 6. Activation Functions - ReLU함수의 모든 것
- Data Preprocessing
Lecture 6. Training Neural Network - Data Preprocessing
- Weight Initialization
Lecture 6. Weight Initialization
- Batch Normalization
👉🏻 Deep Learning CPU와 GPU ⚙️
Lecture 8 - Part1. Deep Learning 을 위한 CPU와 GPU
👉🏻 Deep Learning Framework ☕️
Lecture 8 - Part2. Deep Learning Framework
👉🏻 TensorFlow Fraemwork 🧱
Lecture 8 - Part3. TensorFlow Framework
👉🏻 PyTorch Framework 🔥
Lecture 8 - Part3. PyTorch Framework
모두를 위한 cs231n 😀
👉🏻 시작합니다! 🎈
모두를 위한 cs231n (feat. 모두의 딥러닝 & cs231n)
👉🏻 Neural Network 기초 📗
* Backpropagation
Lecture4. Backpropagation and Neural Network. 오차역전파에 대해서 알아보자😃
👉🏻 Training Neural Network Part I 📑
- Activation Function 파헤치기
Lecture 6. Activation Functions에 대해 알아보자
Lecture 6. Activation Functions - ReLU함수의 모든 것
- Data Preprocessing
Lecture 6. Training Neural Network - Data Preprocessing
- Weight Initialization
Lecture 6. Weight Initialization
- Batch Normalization
👉🏻 Deep Learning CPU와 GPU ⚙️
Lecture 8 - Part1. Deep Learning 을 위한 CPU와 GPU
👉🏻 Deep Learning Framework ☕️
Lecture 8 - Part2. Deep Learning Framework
👉🏻 TensorFlow Fraemwork 🧱
Lecture 8 - Part3. TensorFlow Framework
👉🏻 PyTorch Framework 🔥
Lecture 8 - Part3. PyTorch Framework
👉🏻 Generative Model
모두를 위한 cs231n (feat. 모두의 딥러닝 & cs231n)
cs231n 시작합니다! 안녕하세요. Steve-Lee입니다. 작년 2학기 빅데이터 연합동아리 활동을 하면서 동기, 후배들과 함께 공부했었던 cs231n을 다시 시작하려고 합니다. 제가 공부하면서 느꼈던 점들과
deepinsight.tistory.com
Part 2. Index
- Generative Model
- AutoEncoder: Background
- VAE(Variational AutoEncoder)
- VAE - Intractability
- VAE - Network
- Derive Likelihood & Optimization
- Generating Data
- Summary
Generative Model
VAE를 학습하기 전에 Generative Model에 대해 짚고 넘어가도록 하겠습니다. Generative Model에 대한 내용은 이원웅 님의 블로그를 참고했습니다.
- VAE는 일종의 Generative Model이라고 봐야합니다
- Generative Model이란
- training data가 주어졌을 때 이 data가 sampling 된 분포와 같은 분포에서 새로운 sample을 생성하는 model을 말합니다
- 즉 p_model(x)가 최대한 p_data(x)에 가깝게 만드는 것이 목표입니다
- 따라서 얼마나 기존 모델과 가까운 것인가에 대한 지표를 만들어야 하며 그 차이를 최소화하는 방향으로 gradient를 구해 업데이트해야 합니다

- 오늘 다루는 VAE는 Generative Model 중 Approximate density방법입니다
- 앞서 간단히 설명했던 Generative Model의 특징을 떠올리며 하나씩 살펴보도록 하겠습니다!
지금까지 배웠던 내용

- 앞선 chapter에서는 PixelCNN에 대해 배웠습니다
- PixelCNN은 tractable density function입니다. 즉 데이터를 통해 최적의 likelihood를 구할 수 있습니다.
- 반면 앞으로 배우게 될 VAE는 intractable density function입니다.
- 최적화를 직접적으로 할 수 없기 때문에 lower bound로 유도하여 likelihood를 구해야 합니다.
무슨 말인지 이해가 안 가신다고요?? 하나하나 살펴보도록 하겠습니다.
AutoEncoder: Background

VAE를 배우기 앞서 AutoEncoder부터 알아보도록 하겠습니다.
- AutoEncoder란 비지도 학습 방법 중 하나입니다.
- AutoEncoder의 주요 목적은 unlabeled training data로부터 lower-dimensional feature representation을 학습하는 것입니다.
- 그림을 통해 이해하면 보다 직관적으로 이해하실 수 있습니다.
Input data x가 Encoder를 거쳐 lower-dimension으로 표현됩니다. 따라서 dimensionality reduction의 효과를 얻습니다.
그러면 왜 dimensionality reduction을 하는 것일까요?
왜냐하면 우리는 의미 있는 요소들을 가지고 있는 feature를 추출하기 원하기 때문입니다.
* 지금부터 등장하는 Feature, 특징이라는 용어는 같은 의미로 사용됩니다 *
즉 data의 variation을 표현할 수 있는 중요한 feature들을 추출하고 싶은 것입니다.
예를 들어 사람의 얼굴을 잘 나타내는 특징을 추출하기 원한다면 눈을 나타내는 특징, 코를 나타내는 특징, 입을 나타내는 특징 등을 추출하면 되겠죠?? 이처럼 data의 Variation을 잘 표현할 수 있는 중요한 특징들을 추출하는 것이 AutoEncoder의 목적입니다

- AutoEncoder는 Encoder에서 Input data를 압축하고 Decoder를 통해 Input data를 복원합니다
- Input data를 압축하고 복원하는 과정에서 Input data의 중요 특징을 학습하게 됩니다
- 학습이 잘 되었는지 확인하기 위해서는 Loss Function이 필요합니다.
- 위의 예제에서는 L2 Loss function을 사용했습니다
- 한 가지 주의할 점
- AE에서는 Loss Function을 사용합니다. 하지만 이때 Label이 필요하지 않습니다.
- 즉 레이블 없는 학습 데이터로만 학습합니다.(기억하세요!)
- 한편 Decoder는 training시 loss계산에서만 사용합니다.
- training이 끝난 뒤에는 decoder를 버립니다

- 이렇게 Encoder를 통해 추출한 특징은 supervised model의 초기값으로 사용됩니다
그럼 여기서 한 번 간단하게 정리해보도록 하겠습니다.
- AutoEncoder정리
- AE는 많은 레이블링 되지 않은 데이터로부터 양질의 general feature representation을 학습 가능합니다
- 학습시킨 feature representation을 데이터가 부족한 supervised learning 모델의 초기화 값으로 사용합니다
- AE는 입력값을 복원하는 과정에서 특징(Feature Representation)을 잘 학습하며 학습된 특징은 supervised learning 모델의 초기화에 사용할 수 있습니다.
- 즉 latent vector z가 학습 데이터의 variational을 잘 가지고 있습니다
- 특히 소량의 데이터로 학습을 해야 하는 경우 feature representation은 더 좋은 특징을 초기화할 수 있도록 도와줍니다.
VAE(Variational AutoEncoder)
- 이제 VAE(Variational AutoEncoder)에 대해 알아보도록 하겠습니다
- 우선 한 가지 기억할 점은 AE와 VAE는 이름은 유사하지만 수학적으로는 전혀 관계가 없습니다
- 그리고 Variational AutoEncoder는 Generative Model이라는 점을 기억하세요!

- AutoEncoder와 달리 VAE는 새로운 이미지를 생성합니다
- z라는 latent variable을 사용하여 x라는 이미지를 생성하는 모델입니다
- 마치 AutoEncoder의 decoder처럼 latent vector로부터 이미지를 생성합니다

- 우리가 VAE를 통해 얻고자 하는 것은 true parameter θ값입니다
- 이 모델을 표현하기 위해 우리는 p(z)를 가우시안으로 가정합니다
- 그리고 conditional, p(x|z)을 구하기 위해 Neural Net을 정의합니다

- 모델을 train 하기 위해서는 FVBN(Fully Visible Brief Network)을 사용합니다
- generative model을 training 하는 전략으로 FVBN을 사용한다고 합니다
- 여기서 우리가 알아야 할 것은 트레이닝 데이터의 Likelihood를 최대화하는 모델의 parameter를 구해야 하는 것입니다
- 그 과정을 아래서 살펴보도록 하겠습니다
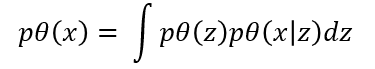
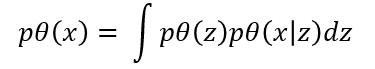
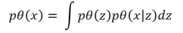
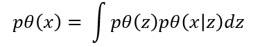
- 우선 probability density function을 정의합니다
- pθ(X)
- 이때 dataset은 X = X(i) 1~N
- datapoint(X(i))는 i.i.d 하다고 가정합니다
- pθ(X)는 parameter θ가 정해졌을 때, X라는 데이터가 나올 확률입니다
- 따라서 이 확률을 최대화하는 것이 Generative model 또는 Density Estimation의 목표입니다
- latent vector z를 사용해 pθ(X)를 다시 정의해 보도록 하겠습니다

- 우변 해석
- pθ(z): latent vector z를 sampling 할 수 있는 확률밀도함수입니다
- pθ(x|z): z가 주어졌을 때 x를 생성해내는 확률밀도함수입니다
- 이때 pθ(x|z)는 θ에 대해 미분 가능해야 합니다
VAE - Intractability

- 하지만 위의 수식은 문제가 있습니다 intractable 합니다
- 그 이유는 가능한 모든 z에 대해 integral(영어로 적분)을 하기 때문입니다
- 따라서 직접적으로 미분할 수 없습니다
- 이 문제를 MLE로 풀기 위해서는 미분 가능한 형태로 만들어줘야 합니다
- z를 구성하고 integral 할 수 없는 문제를 VAE가 해결해줍니다

- 대부분의 z에 대해 pθ(x|z)는 거의 0의 값을 가질 것입니다. 따라서 sampling이 상당히 많이 필요합니다.
- 좀 더 efficient 하게 sampling을 진행하기 위해 data에 dependent 한 z를 sampling 할 필요가 있습니다
- 따라서 pθ(z|x)를 생각해 내는 것입니다
- pθ(z|x)가 하는 역할은 x가 주어졌을 때 이 x를 생성해 낼 것 같은 z에 대한 확률 분포를 만들어 내는 것입니다.
- 위와 같이 Baye's Rule을 적용해 쓸 수 있습니다.
- 하지만 앞서 pθ(x)가 intractable 하기 때문에 pθ(z|x) 또한 intractable 합니다.
그렇다면 문제를 어떻게 해결할 수 있을까요??

- Solution
- Decoder network모델링을 위해 추가적인 Encoder Network를 정의해줍니다
- pθ(z|x)를 근사하는 qϕ(z|x)를 구성합니다
- ϕ라는 새로운 parameter로 표현되는 qϕ(z|x)는 일종의 Encoder라고 볼 수 있습니다
- 하지만 원래의 posterior를 approximate 했기 때문에 error가 존재하게 됩니다
- 따라서 원래의 objective function에 대한 lower bound를 정의해 줘야 합니다
- Decoder network모델링을 위해 추가적인 Encoder Network를 정의해줍니다
모델이 학습을 어떻게 하고 어떻게 최적화되는지 이어서 살펴보도록 하겠습니다.
VAE Network
- 결국 VAE에서 하고 싶은 것은 데이터의 확률론적 생성(probabilistic generation) 모델을 만들고 싶은 것입니다
- VAE 네트워크 구조를 통해 알아보도록 하겠습니다

- VAE네트워크를 통해 학습과정을 살펴보겠습니다
- Encoder는 qϕ(z|x)이며 x를 input으로 받아서 z space상에서 확률분포를 만듭니다
- 이 확률분포는 gaussian이라고 가정해서 만듭니다
- 이 data dependent 한 gaussian 분포로부터 z를 sampling 합니다
- sampling 된 z를 가지고 decoder pθ(x|z)는 x의 space 상의 gaussian distribution 혹은 Bernoulli distribution을 output으로 내놓습니다
- 그러면 x를 이 분포로부터 sampling 할 수 있게 됩니다
- 이러한 구조를 가지기 때문에 Auto-Encoder가 되는 것이며 학습이 되고 나면 latent variable z라는 data의 의미 있는 representation을 얻을 수 있게 되는 것입니다
Derive likelihood
- 지금부터는 VAE의 Likelihood 유도에 대해 살펴보도록 하겠습니다

- 우리가 원하는 것은 logpθ(x)를 최대화 시키는 것입니다
- 유도 공식을 line by line으로 설명해 보겠습니다
- line 1: 우선 log likelihood를 qϕ(z|x)로부터 sampling한 latent vector z에 대한 expectation식으로 바꿔줄 수 있습니다
- line 2: Baye's rule 적용
- line 3: 분모 분자에 qϕ(z|x)을 곱해줍니다
- line 4: log 수식을 정리하면 다음과 같은 식으로 정리할 수 있습니다
- line 5: 수식은 3개의 term으로 정리가 됩니다
- Decoder Network Term(첫 번째 term):
- [reconstruction]: original input being reconstructed
- qϕ(z|x)로부터 sampling한 z를 가지고 pθ(xi|z)가 xi를 생성한 log likelihood
- KL term
- prior z(p(z))와 posterior qϕ(z|x)사이의 KL-divergence
- 즉 근사된 posterior의 분포가 얼마나 normal distribution과 가까운지에 대한 척도입니다
- (단 이때 prior를 normal distribution으로 가정)
- KL term(마지막 KL term)
- pθ(z|xi)는 intractable하기 때문에 값을 계산하기 어렵습니다 (Intractible: Baye's rule을 적용한 수식(p(z|x))이 계산이 되지 않는 것을 확인)
- 하지만 KL의 성질(특성)에 의해 세번째 항(마지막 KL term)은 무조건 0보다 크거나 같다
- 따라서 {첫 번째 term과 두 번째 term을} 하나로 묶어주면 원래의 objective function에 대한 tractable한 lower bound를 정할 수 있습니다
- MLE 문제를 풀기 위해서는 objective function을 미분해서 gradient ascent를 할 것이며
- Lower bound가 정의된다면 이 lower bound를 최대화하는 문제로 바꿔 gradient를 구할 수 있는 것입니다
- 좀 더 쉽게설명해보겠습니다
- 결국 학습을 위해서는 미분을 하고 gradient(기울기)값을 구해야 하는데 intractable한 pθ(x)를 tractable하게 유도하여 lower bound 문제로 정의해 주는 것입니다
- lower bound인 이유는 첫 번째 term과 두 번째 term의 값의 합 이상으로 MLE를 구해야 하기 때문입니다. (마지막 term은 0이상이니깐!)
아래의 강의 슬라이드를 참고하여 보다 깊은 이해를 하길 바랍니다.



Generating Data

- VAE를 통해 Latent Vector z를 학습하면 Data Generating이 가능해집니다
- 위의 사진처럼 z1과 v2의 값을 조정하여 다양한 값들을 생성해 낼 수 있게 되는 것입니다
- 데이터의 특징을 잘 담은 feature를 조절하여 이미지를 생성하는 것입니다
- 위의 사진에서는 z1을 통해 웃는 정도를 조정하며 z2를 통해 얼굴 포즈를 조절할 수 있었습니다
- 정말 신기하지 않나요??
Summary

- 지금까지 VAE에 대해 알아봤습니다
- VAE를 이해하기 위해서는 VAE가 생성 모델이라는 것을 잊어서는 안됩니다
- 그리고 수식을 유도하는 과정과 VAE 네트워크의 관계를 파악해보시기를 권장드립니다
지금까지 VAE에 대해 살펴보았습니다. VAE의 개념이 글을 정리하는 지금도 완벽하게 정리되지는 않은 것 같습니다. 포스팅에 오타가 있을 경우 말씀해주신다면 감사하겠습니다. 계속 공부해나가며 부족한 부분들은 채워보도록 하겠습니다. 긴 글 읽어주셔서 감사합니다. 좋은 하루 보내세요! 이상 Steve Lee였습니다
Reference
- cs231n 2017 Lecture 13: cs231n syllabus
- VAE Tutorial 1: 이원웅 님의 블로그
- AutoEncoder의 모든 것: 이활석님의 Naver사내 강의자료
'Deep Learning > 모두를 위한 cs231n' 카테고리의 다른 글
| [모두를 위한 cs231n] Lecture 6. Batch Normalization에 대해 알아보자 (4) | 2020.05.19 |
|---|---|
| [모두를 위한 cs231n] Lecture 6. Training Neural Network - Data Preprocessing (0) | 2020.05.18 |
| [모두를 위한 cs231n] Lecture 6. Weight Initialization (0) | 2020.05.18 |
| [모두를 위한 cs231n] Lecture 6. Activation Functions에 대해 알아보자 (1) | 2020.05.18 |
| [모두를 위한 cs231n] Lecture 8 - Part3. TensorFlow Framework (0) | 2020.05.12 |
댓글